Bonsoir,
Cependant PRISM m'a indiqué une "Quantité de mémoire estimée (Mo) : 4797", il aurait très bien pu rajouter qu'il ne pouvait adresser que 4Go et ne pas lancer inutilement le traitement.
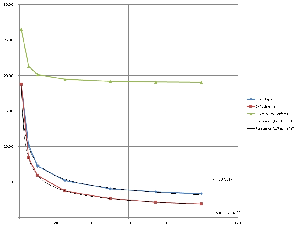
Par ailleurs, oui tu as raison de dire que 20 offsets ça suffit bien. J'étais convaincu que plus on en faisait et mieux ce serait. Comme je n'ai trouvé aucune lecture sérieuse sur la question de savoir combien d'offsets ou de dark il fallait faire j'ai fait des mesures sur mes offsets bruts. Le graphique ci-dessous montre la synthèse de ces mesures.

- Comparaison du bruit dans des piles médianes d'offsets
J'ai utilisé PRISM 9.0.5 pour créer l'offset avec différentes quantités d'images n (5, 10, 25, 50, 75 et 100) en abscisses et j'ai indiqué en ordonnée l'écart type (que j'assimile au bruit) calculé par la fonction statistique globale de PRISM. La courbe rouge indique la décroissance théorique du bruit en 1 sur racine de n.
L’excellent dossier de Christian Buil
http://www.astrosurf.com/ccdbazar/D-Mat ... uit04.html indique que le bruit s'additionne quadratiquement, j'ai donc rajouté la courbe verte (bruit de l'offset master et bruit de l'image brute). Cette courbe verte stagne à l'horizontale à partir de 30 images additionnées environs. Quand on passe de 10 à 25 images le gain est de 0.65 en intensité de bruit. Quand on passe de 25 à 50 images le gain est de 0.27 en intensité de bruit (à comparer au bruit de l'image brute qui est de 18.75 soit 1,4% d'amélioration pour le double d'images). Il me semble donc inutile de dépasser 50, mais 20 images reste tout à fait honnête.
Attention à tout lecteur qui prendrait ces chiffres pour son compte car ils ne sont valables que pour ma caméra CCD (QSI 583).
PS : Ma configuration (setup)
• PRISM 9.0.5 build 4 du 14/12/2014
• Version OS Windows 8.1 en 64 bits
• Processeur Intel(R)_Core(TM)_i5-3210M_CPU_@_2.50GHz
• Mémoire utilisable 16Go
• Résolution 1920x1080
• ASCOM Platform 6 - SP3 v6.0.3.0
• Monture EM200 Temma 2Jr et driver ASCOM Telescope driver for Takahashi Temma protocols 6.2.0.0
• Mise au point Robofocus et RobofocusSever driver ASCOM 5.2.0.0
• Autoguider i-Nova PLA-MX hors axe 17mm et driver ASCOM I_Nova Camera Driver 1.11.0.0
• Acquisition CCD QSI583WSG
• Filtres ASTRODON True RGB et Ultra bande étroite Ha Oiii Sii à 3nm
• Optique Lunette Takahashi FSQ106 F/5